INTRODUCCIÓN
La sobrecarga progresiva: la razón por la cual no has visto los resultados que quieres en el gimnasio, o al menos de acuerdo con infinidad de videos en TikTok en Instagram que no duran más de 30 segundos porque el algoritmo los enterraría y nuestra atención ya no da para discusiones matizadas al respecto y, mucho menos, para leer por más de 2 minutos continuos. Sin duda es un tema fundamental dentro del entrenamiento, aunque es un poco elusivo y no siempre estamos hablando todos de lo mismo al mencionarlo. Podemos entender a la sobrecarga progresiva como una variable del propio entrenamiento que supone la acción de incrementar el estímulo a través de más repeticiones, más carga, más series o una mezcla de todas estas; por otro lado, también la podemos entender como la observación de un incremento en nuestro rendimiento debido a las adaptaciones previas producto del entrenamiento, como una especie de evidencia de su efectividad, si tu quieres.
Existen muchas formas de volver a nuestro entrenamiento más retador, pero esto no significa necesariamente que debamos volverlo más retador semana a semana ¿o sí? Bueno, la realidad es que a pesar de que la noción de la sobrecarga progresiva siendo un factor determinante para la mejor adaptación es viable y lógica, la evidencia disponible es indirecta y primordialmente extrapolada de respuestas agudas al entrenamiento, lo cual limita la certeza de esta.
EL ESTUDIO
Con esto en mente, el propósito de este estudio fue comparar la respuesta hipertrófica del entrenamiento de fuerza con sobrecarga progresiva (incrementando repeticiones y/o carga) y sin sobrecarga progresiva (manteniendo estas variables constantes) en un grupo de personas no entrenadas por un periodo de 8 semanas.

La hipótesis de los investigadores, y con justa razón, fue que la condición de sobrecarga progresiva (PO) suscitaría mayor crecimiento muscular basándose en un razonamiento fisiológico y en la evidencia indirecta disponible.
¿Qué hicieron los investigadores?
Participaron 55 mujeres no entrenadas con una edad promedio de 23 años en un diseño unilateral intrasujeto que consistió en tres condiciones:
- Entrenamiento con sobrecarga progresiva (PO)
- Entrenamiento sin sobrecarga progresiva (N-PO)
- Control (sin entrenamiento)
Puesto que se trata de un diseño unilateral intrasujeto, cada brazo de las participantes fue asignado de manera aleatoria a una de las tres condiciones, a lo cual podrías estarte preguntando “¿cómo que tres condiciones si solo tenemos dos brazos? ¿o son estas mujeres pulpo como los mugrosos de mi gimnasio que utilizan varios pares de mancuernas a la vez?” a lo cual respondería: “tranquilo(a), querido(a) lector(a), esto significa que un brazo no realizó ningún tipo de entrenamiento mientras que el otro se asignó de forma aleatoria ya sea a PO o N-PO”.
¿En qué consistió el entrenamiento?
El ejercicio seleccionado fue la extensión de tríceps por encima de la cabeza con mancuernas ajustables para incrementar o disminuir el peso. En total se realizaron 3 series de 8 a 12 repeticiones con 2 minutos de descanso entre cada una. Se estandarizó el tempo de ejecución empleando 2 segundos en la excéntrica y 1 segundo en la concéntrica. La intervención de entrenamiento tuvo una duración total de 8 semanas y una frecuencia de 3 sesiones semanales.

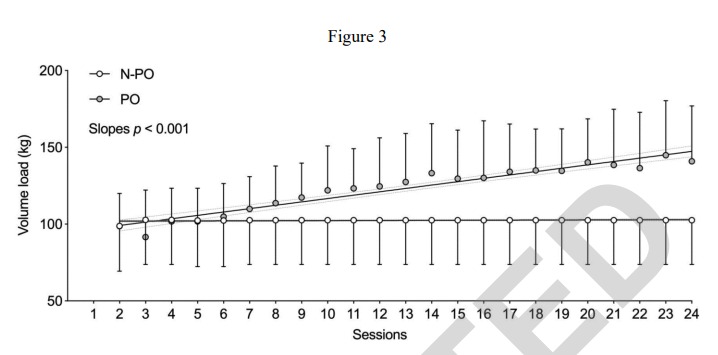
Para la condición de PO se empleó una estrategia de progresión doble que consistió en que una vez que las participantes lograran 12 repeticiones con una determinada carga, esta incrementaba para regresar al límite inferior del rango de 8-12. Antes de volver a incrementar la carga, debían ser entonces capaces de lograr nuevamente 12 repeticiones con el incremento previo. En la condición N-PO, se mantuvo la carga y el número de repeticiones que se habían logrado en la sesión de prueba y familiarización sin ninguna modificación posterior durante todo el protocolo experimental.
Finalmente, una vez que cada participante completaba ambas condiciones de entrenamiento con una extremidad, el brazo contralateral era asignado a uno de los dos protocolos de forma aleatoria para que los completara nuevamente.
¿Y qué pasa con la intensidad del entrenamiento?
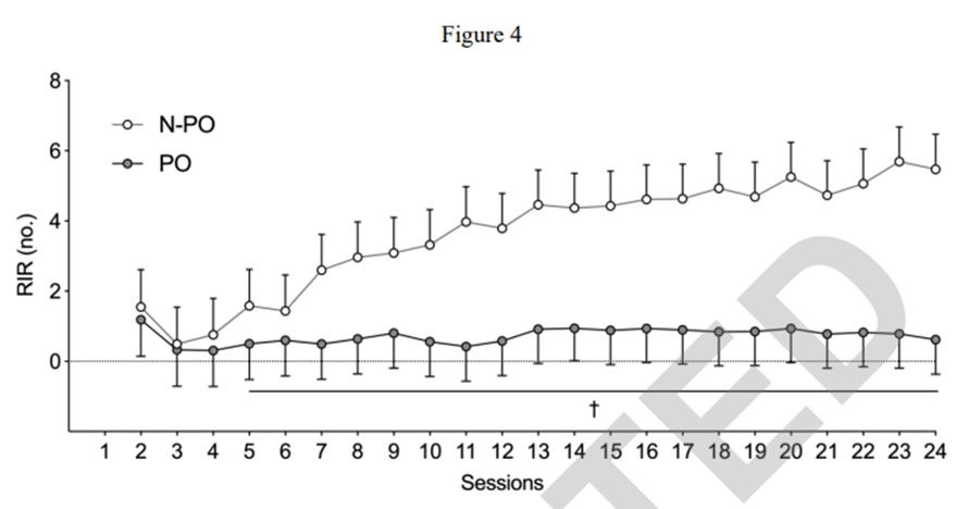
Me alegra que preguntes, puesto que es una variable importante. Luego de cada serie, se evaluó la proximidad al fallo empleando la escala de repeticiones en reserva (RIR) y esta métrica fue reportada como una interacción entre las condiciones de entrenamiento y el tiempo de la intervención.
¿Qué se midió?
El principal resultado de interés fue el grosor muscular del tríceps braquial medido con ultrasonido en modo B en ambos brazos al 60% y 70% de la distancia entre el proceso acromial de la escápula y el epicóndilo lateral del húmero. La sumatoria de ambos sitios fue utilizada para el análisis estadístico.

HALLAZGOS
Grosor muscular
De forma poco sorpresiva, la condición PO mostró un mayor crecimiento en comparación con N-PO. Sin embargo, aún la condición de N-PO resultó en crecimiento significativo a nivel de grupo. En concreto, N-PO resultó en un incremento de 0.41 cm mientras que para PO fue de 0.79 cm.

Proximidad al fallo
Considero muy interesante resaltar que en la condición N-PO, de forma progresiva los participantes comenzaron a alejarse del fallo muscular momentáneo, o lo que es lo mismo, dejar cada vez más repeticiones en reserva y, aún así, mostraron crecimiento significativo.

Volumen de la carga
Finalmente, el volumen de la carga fue mayor en la condición PO, lo cual podría ser un factor importante al considerar la naturaleza de los resultados y nuestra interpretación de estos.

¿Qué significan estos hallazgos?
Lo obvio: que emplear una estrategia de progresión, como la doble en este caso, es una muy buena idea para maximizar la adaptación al entrenamiento.
Lo no tan obvio: que, en personas desentrenadas, no es realmente necesario empujarlos demasiado para promover adaptación hipertrófica, puesto aún en ausencia de progresión y aún dejando cada vez más repeticiones en reserva, mostraron un crecimiento significativo al menos en este estudio.
Lo aún menos obvio: que progresar semana a semana no es un requisito como solemos creer. La adaptación toma tiempo y comparar nuestro rendimiento en una base arbitraria puede generar más ruido que dificulte prestar atención a la señal.
CONCLUSIÓN
La sobrecarga progresiva es aún un tema elusivo, puesto que el presente estudio fue realizado en mujeres jóvenes desentrenadas, limita en buena parte su aplicación práctica a poblaciones divergentes. Sin embargo, ya sea agregando repeticiones, o incrementando la carga, buscar de forma activa un incremento en nuestro rendimiento es una pieza clave para lograr la mejor adaptación posible. Por otro lado, debemos recordar que la propia adaptación es un proceso orgánico que no podemos forzar y, menos aún, conforme vamos ganando experiencia en el entrenamiento y nos volvemos más fuertes y musculados.
Al menos en personas principiantes, las ganancias iniciales son sumamente nobles y no requieren que el entrenador en turno las lleve a sus límites o generar preocupación por la progresión a como de lugar. Para personas con mayor experiencia, prestar atención a la tendencia en el rendimiento y esforzarse por mejorar sí que se vuelve cada vez más relevante para continuar cosechando ganancias quizás menos significativas, pero potencialmente determinantes para el éxito deportivo. ¿La mejor forma de progresar? No tengo idea. Personalmente, la progresión dinámica doble como la que fue empleada en este estudio me parece una excelente idea y es una de las formas en que yo mismo entreno.
REFERENCIA
Kassiano, Witalo & Santos-Melo, Vanessa & Manske, Ingrid & Lisboa, Felipe & Miguel, Alexandre & Correa de Paula, Felipe & Prado, Aline & Stavinski, Natã & Costa, Daniella & Cyrino, Edilson. (2026). Progressive Overload Affects the Magnitude of Muscle Hypertrophy. Medicine and Science in Sports and Exercise. 10.1249/MSS.0000000000003968.
